Discussions
Select Date
Tags:
kamlesh verma

· started a discussion

· 1 Months ago

sollution

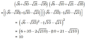
Question:
The value of (\(\sqrt{6}\) + \(\sqrt{10} - \sqrt{21} - \sqrt{35} × \)) × (\(\sqrt{6} - \sqrt{10} + \sqrt{21} - \sqrt{35}\)) is - 
Options:
A) 7
B) 9
C) 10
D) 11
Solution:
Ans: (c)


All Rights Reserved Top Rankers