Discussions
Select Date
Tags:
sanket singh

· started a discussion

· 1 Months ago

option same

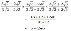
Question:
Find the value of \(\cfrac{3\sqrt{2} + 2 \sqrt{3}}{3\sqrt{2} - 2\sqrt{3}}\)
Options:
A) 5 + 2\(\sqrt{6}\)
B) \(\cfrac{3 +2\sqrt{6}}{2}\)
C) 5 -2\(\sqrt{3}\)
D) 5 +2\(\sqrt{3}\)
Solution:
Ans: (a)


Knowledge Expert

· commented

· 1 Months ago

Hi option(d) had to be 5 +2√3.............we fixed it.........

All Rights Reserved Top Rankers