Discussions
Select Date
Tags:
ashish sharma

· started a discussion

· 1 Months ago

a+1/a=4 kse hua

Question:

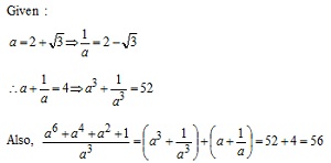
If a = 2 + \(\sqrt[]{3}\), then the value of \(\cfrac{a^6+a^4+a^2+1}{a^3}\)    is:

Options:
A) 56
B) 45
C) 65
D) 42
Solution:
Ans: (a)


All Rights Reserved Top Rankers