Discussions
Select Date
Tags:
अभिषेक कुमार मौर्य

· started a discussion

· 1 Months ago

WHY NOT IT IS +-3??

Question:
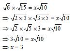
If \(\sqrt{6} \times \sqrt{15} = x\sqrt{10} \) then the vlaue of x is?
Options:
A) 3
B) \(\pm\)3
C) \(\sqrt[]{3}\)
D) \(\sqrt[]{6}\)
Solution:

All Rights Reserved Top Rankers