Discussions
Select Date
Tags:
Saptarshi Sadhu

· started a discussion

· 1 Months ago

I gave my money to purchase the set so provide a correct typed question

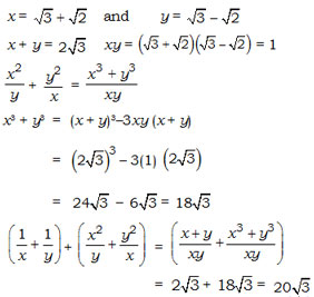
Question:
If x = \(\sqrt{3} + \sqrt{2}\) and y = \(\sqrt{3} - \sqrt{2}\) then the value \(\left ( \cfrac {1}{x} + \cfrac{1}{4} \right ) + \left ( \cfrac {x^2}{y} \cfrac{y^2}{x} \right )\) is-
Options:
A) 10 \(\sqrt{3}\)
B) 20 \(\sqrt{3}\)
C) 9 \(\sqrt{3}\)
D) 30 \(\sqrt{3}\)
Solution:
Ans:(b)


All Rights Reserved Top Rankers