Discussions
Select Date
Tags:
Akshay

· started a discussion

· 1 Months ago

How

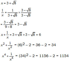
Question:
If \(x=3+\sqrt{8}\), then what is the value of  \(x^4+\cfrac{1}{x^4}\)?
Options:
A) 1154
B) 6239
C) \(577+12\sqrt{8}\)
D) \(1024+204\sqrt{8}\)
Solution:

Ans: (A)


All Rights Reserved Top Rankers