Discussions
Select Date
Tags:
Jitender kumar

· started a discussion

· 1 Months ago

solution plz

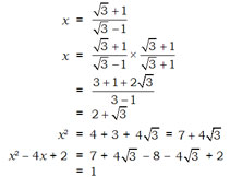
Question:
If x = \(\cfrac{\sqrt{3} + 1}{\sqrt{3} - 1}\) , then find the value of x2 – 4x + 2.
Options:
A) 0
B) -1
C) 1
D) -2
Solution:
Ans: (c)


All Rights Reserved Top Rankers